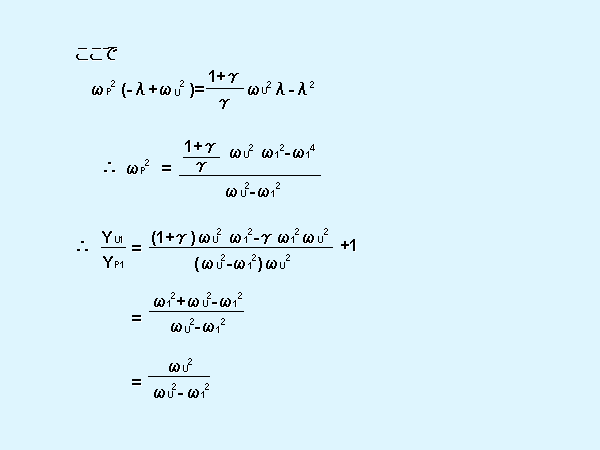
Ε‰ ‘O‚Φ ŽŸ‚Φ ΕŒγ ²έΓή―Έ½ Γ·½Δ

ƒXƒ‰ƒCƒh 16 / 22